반응형
전자가 이동하면 왜 전기장이 생길까요?
많은 사람들이 전지에서 전류가 흐르면 전기장이 만들어진다고 배우지만,
그 ‘왜’와 ‘어떻게’를 깊게 이해하는 경우는 드뭅니다.
오늘은 전하 분리 → 전기장 생성 원리부터,
자석 비유, 쌍극자 구조, 그리고 과학자들이 생각한 장(field) 개념까지 차근차근 풀어드립니다.
목차
1. 전자가 이동하면 왜 전기장이 생기는가
- 전기장의 본질은 전하가 만드는 힘의 장입니다.
- 전자가 한쪽으로 이동하면, 전하의 분포가 바뀌어 전하 불균형이 생깁니다.
- 한쪽 전극은 전자가 많아져 음전하 상태, 다른 쪽 전극은 전자가 부족해 양전하 상태가 됩니다.
- 이처럼 양전하와 음전하가 서로 떨어져 있을 때, 그 사이 공간에 전기장이 형성됩니다.
💡 핵심 포인트
전자의 이동이 전기장을 직접 만드는 게 아니라, 전하 분리를 유도 → 전위차 형성 → 전기장 생성의 순서입니다.
2. 전하 분리와 전기장 형성 과정
- 전극에서 화학 반응이 전자를 이동시킴
- 전자의 이동 → 전극 간 전하 불균형 형성
- 전하 불균형 → 전위차(전압) 발생
- 전위차 → 공간에 전기장 생성
- 전기장이 도선 속 전자에 힘을 주어 전류 발생
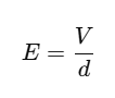
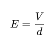
전기장 공식

- V : 전위차(전압)
- d : 전하 사이 거리
3. 자석 비유로 이해하는 전기장
- 자석의 N극과 S극이 서로 떨어져 있을 때 강한 자기장이 형성됩니다.
- 전기장도 비슷하게, +전하와 -전하가 떨어져 있을 때 강한 전기장이 생깁니다.
- 자석에서 한 극만 있으면 장이 잘 느껴지지 않지만, 두 극이 떨어져 있으면 힘이 분명하게 나타나는 것과 같은 원리입니다.
💡 비유
전지 속 전하 분리 = 자석의 N극과 S극 분리
→ 둘 사이의 공간에 ‘힘의 장’ 형성
4. 쌍극자 구조란 무엇인가
- 쌍극자(dipole): 서로 반대 성질을 가진 두 극이 일정 거리 떨어져 있는 구조
- 전기 쌍극자: +전하와 -전하가 떨어져 있는 상태 (예: 물 분자)
- 자기 쌍극자: N극과 S극이 떨어져 있는 상태 (예: 막대자석)
- 쌍극자는 방향성과 강한 장을 형성하는 기본 단위입니다.
5. 과학자들이 본 전기장과 자기장의 공통 원리
- 과거: “전하나 자석이 서로 직접 끌고 민다”라는 원격 작용 개념
- 패러데이 이후: “전하나 자석이 주변 공간에 장(field)을 만든다”
- 전기장: 전하가 만드는 힘의 분포
- 자기장: 자기극 또는 움직이는 전하가 만드는 힘의 분포
- 두 극이 떨어져 있는 쌍극자 구조에서 장이 강해지는 이유는, 공간의 힘의 변화(구배)가 커지기 때문입니다.
6. 핵심 요약
- 전기장은 전하 분리로 인한 전위차가 만들어낸 힘의 장
- 전자의 이동 → 전하 재배치 → 전기장 생성
- 자석의 N극·S극 분리와 전지의 +전하·-전하 분리가 같은 원리
- 쌍극자는 전기장·자기장의 강력한 원천
- 패러데이는 장 개념을 도입해 전기력과 자기력을 하나의 공간 개념으로 설명
키워드
전기장 생성 원리, 전하 분리, 전기장과 전자 이동, 전기장 자석 비유, 쌍극자 구조, 장 개념, 전기장과 자기장 관계
'질문이 있는 과학픽' 카테고리의 다른 글
| 🔥 열은 무엇일까? 플로지스톤에서 엔트로피까지, 과학자들의 드라마 (0) | 2025.09.05 |
|---|---|
| [전지 전압의 비밀] 리튬·구리·아연의 전압 차이와 이온화 경향, 쉽게 이해하기 (3) | 2025.08.11 |
| [전지 원리 쉽게 이해하기] 전지 내부에서 전기장이 생기는 이유와 과정 완벽 정리 (1) | 2025.08.10 |
| [전기입문을 위한] 왜 전자는 이동하지만, 물 위 공은 옆으로 안 갈까? (2) | 2025.08.10 |
| [전기입문을 위한] ‘벤자민 프랭클린’과 ‘마이클 패러데이’ – 과학 업적, 영향, 공통점·차이점 총정리 (2) | 2025.08.10 |