퍼센트(%)는 쉽다고 생각하지만 ‘100% 증가 = 2배’라는 개념은 쉽게 헷갈립니다. 수포자도 이해할 수 있도록 퍼센트의 원리부터 성장률 계산까지 차근차근 풀어 설명합니다. 예시와 함께 퍼센트 감각을 기르고, 경제 뉴스를 쉽게 읽어보세요.
📌 목차
- "100% 증가 = 두 배"? 진짜야?
- 퍼센트(%)는 수학에서 무슨 뜻일까?
- 왜 100% 증가가 두 배인지 수식으로 설명하기
- 실생활 예시로 퍼센트 이해하기
- 경제 뉴스에서 퍼센트를 읽는 법
- 헷갈리는 퍼센트 표현 구분하기
- 마무리: 퍼센트, 수포자도 이해할 수 있다
1. "100% 증가 = 두 배"? 진짜야?
한 번쯤 들어봤을 말:
“매출이 100% 증가했어요.”
→ 그럼 얼마나 늘어난 걸까요?
많은 사람들은 그냥 많이 늘었다고 느끼지만,
정확히는 “두 배가 되었다”는 뜻이에요.
왜 그런지, 수학적으로도 감각적으로도 설명해볼게요.
2. 퍼센트(%)는 수학에서 무슨 뜻일까?
퍼센트 = 백분율 = 전체를 100으로 본 단위
- 1% = 100분의 1 = 0.01
- 25% = 0.25 (4개 중의 1개)
- 100% = 기준값 그대로 (1.0)
- 120% = 기준값보다 20% 더 → 1.2배
- +100% 증가 = 기준보다 100% 더 → 2배
💡 퍼센트는 늘 ‘기준’에 대한 변화량을 보여주는 수입니다.
3. 왜 100% 증가가 두 배인지 수식으로 설명하기
공식은 이렇게 생겼어요:
증가율(%) = [(새 값 − 기준 값) ÷ 기준 값] × 100
이걸 반대로 바꾸면:
새 값 = 기준 값 × (1 + 증가율 ÷ 100)

예를 들어,
기준값이 100이고, 100% 증가했다면?

👉 즉, 두 배가 되는 게 맞습니다.
4. 실생활 예시로 퍼센트 이해하기
- 🍎 예시 1. 사과 바구니
- 바구니에 사과가 5개 있어요.
- 누가 5개 더 넣었어요.
- 그럼 바구니엔 총 10개가 있죠?
🔍 수식으로 보면:

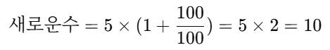
💰 예시 2. 용돈
- 이번 달 용돈 5,000원 받았는데,
- 다음 달엔 5,000원 더 받아서 총 10,000원이 되었어요.
👉 100% 증가 = 두 배가 된 것!
🔍 수식으로 보면:

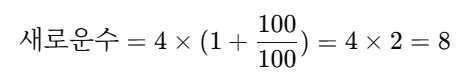
📚 예시 3. 독서량
- 지난달 책 4권 읽었고,
- 이번 달엔 4권 더 읽어서 총 8권
👉 역시 100% 증가 = 두 배가 됨새로운수=4×(1+100100)=4×2=8새로운 수 = 4 × (1 + \frac{100}{100}) = 4 × 2 = 8
- 🔍 수식으로 보면:

✔ 퍼센트는 기준에 ‘얼마나 더해졌는가’를 나타내는 수에요.
5. 경제 뉴스에서 퍼센트를 읽는 법
“수출 증가율 100%”
→ 작년보다 두 배 더 팔았다는 뜻
“성장률 50%”
→ 기준보다 절반 더 성장 → 1.5배가 된 것
“매출 200% 성장”
→ 기준보다 두 배 더 성장 → 총 3배 (1 + 2 = 3배)

6. 헷갈리는 퍼센트 표현 구분하기

✔ “100% 증가”와 “100%가 되었다”는 전혀 다른 뜻이에요.
7. 마무리: 퍼센트, 수포자도 이해할 수 있다
퍼센트는 단순한 기호처럼 보이지만,
경제를 읽는 언어예요.
✔ 100% 증가 = 두 배가 된 것
✔ 수학적으로는 기준 + 기준 = 2 × 기준
✔ 감각적으로도 기준이 두 번 반복된 것
이제 퍼센트가 뉴스에 나와도 당황하지 마세요.
수포자도 이해할 수 있도록, 수학으로 천천히 풀면 세상이 달리 보입니다.
📌 다음 글
퍼센트는 경제 뉴스의 문법입니다.
“100% 증가”의 뜻 하나만 제대로 알면,
경제 뉴스의 절반은 이해한 셈이에요.
다음 글에서는 성장률 120%는 왜 2.2배인지도 더 깊이 풀어보겠습니다!

'경제픽' 카테고리의 다른 글
| 수포자도 이해하는 경제성장률 계산법 – 퍼센트만 알면 경제의 절반은 이해한 셈! (0) | 2025.05.08 |
|---|