낚시할 때 물고기가 잡힐 확률은 단순한 운일까? 조건부 확률로 낚시 전략을 수학적으로 풀어보는 생활 속 수학 이야기, 낚싯대 시리즈 4편입니다.
🧠 이 글은 시리즈입니다
《생활 속의 수학 – 낚싯대 하나로 배우는 수학 이야기》
①편: 낚싯줄을 던졌더니 함수가 나왔다 – 포물선과 이차함수
②편: 릴 한 바퀴에 감기는 줄의 길이 – 원주율과 비례식
③편: 낚싯대가 휘는 이유는? – 하중과 탄성의 법칙
④편: 물고기 잡힐 확률은? – 조건부 확률 ← 지금 읽는 글
⑤편: 포인트는 어떻게 찾을까 – 삼각법과 좌표
🎣 낚시는 사실, 확률 게임이다
낚시는 감각의 싸움이기도 하지만,
정보와 확률의 싸움이기도 합니다.
- 어제 이 시간, 이 자리에 고기가 많았다면?
- 오늘 기온이 어제와 비슷하다면?
- 이 미끼에 반응한 물고기가 있었다면?
이런 판단은 조건이 붙은 확률, 즉 조건부 확률과 닮아 있습니다.
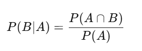
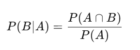
📊 조건부 확률이란?
조건부 확률은 어떤 사건 A가 이미 일어난 상태에서
사건 B가 일어날 확률을 말합니다.

예시로 바꿔볼까요?
- A: 어제 이 미끼에 고기가 잡혔다
- B: 오늘 같은 포인트에서 고기가 잡힌다
이때, P(B|A)는
‘어제 이 미끼에 고기가 잡힌 조건에서,
오늘 같은 포인트에서 고기가 잡힐 확률’을 뜻합니다.
🎯 확률로 낚시 전략 세우기
실제로 경험 많은 낚시꾼은
이런 식의 데이터 기반 전략을 씁니다:
- 온도, 날씨, 시간대, 물 색깔, 미끼 종류 등
여러 조건을 바탕으로 성공 확률이 높은 조합을 찾아내죠.
즉, 낚시는 조건부 확률 실전 응용의 대표적인 활동입니다.
👩🏫 수업/활동에서 이렇게 활용해보세요
활동 예시:
- 간단한 ‘조건부 확률 게임’ 설계:
물고기 종류 3개, 미끼 2종, 포인트 2곳으로 구성 - 실제 실험/조사로 데이터 만들기:
친구들과 미끼별로 성공 횟수 기록 - 표 만들고 확률 계산하기:
전체 중 잡힌 확률 vs 특정 조건에서의 확률
🧠 낚시는 전략이다, 수학은 그 전략의 언어다
이제 낚시는 운의 문제가 아니라,
데이터와 조건을 읽는 전략의 문제입니다.
조건부 확률은 그 전략을 숫자와 논리로 번역해줍니다.
학생들이 단순 계산 문제에서 벗어나
“어떤 조건이 붙을 때 확률이 달라진다”는 감각을 갖게 하기에
정말 좋은 생활 속 사례가 바로 낚시입니다.
📚 다음 이야기 예고
⑤편: [생활 속의 수학 ⑤] 포인트는 어떻게 찾을까 – 삼각법과 좌표 이야기
→ 낚시의 ‘핫스팟’을 찾는 데도 삼각법이 필요하다?
두 점 사이 거리, 각도, 지도와 좌표의 원리를 파헤칩니다.

"한국은 왜 아직 과학 노벨상을 못 받았을까? 일본과의 결정적 차이"
일본은 과학 노벨상을 20개 이상 받았지만 한국은 왜 아직도 받지 못했을까? 기초과학 투자, 교육 철학, 연구 생태계의 차이를 중심으로 그 이유를 분석합니다.🧭 목차일본은 언제부터 과학에
studygoodjob.com
수학 연대표 ( 한국 시대 참고용)
인류 문명의 발달과 궤를 같이 해온 수학은 단순한 계산 기술을 넘어, 세상을 이해하고 발전시키는 강력한 도구였습니다. 동양과 서양을 빛낸 수많은 수학자들의 열정과 노력이 있었기에 오늘
studygoodjob.com
"왜 틀리지?" 이제 그만! 7단계 수학 학습법으로 반복되는 실수 완벽 차단
"왜 자꾸 실수하지?", "문제 좀 제대로 읽지!", "풀이는 맞고 답만 틀려!" 답답한 우리 아이 수학 공부, 7단계 학습법으로 근본적인 문제 해결! 7번 반복의 힘으로 수학 실력 UP! 안녕하세요. 쉬엔샘
studygoodjob.com
🔢 소수를 쫓는 사람들 Ep.01_에라토스테네스 – 구조를 본 최초의 수학자
🔢 소수를 쫓는 사람들 Ep.01에라토스테네스 – 구조를 본 최초의 수학자🌍 에라토스테네스, 우물 밖을 본 사람지구의 반지름을 계산했던 고대 과학자 에라토스테네스는 단순한 수학자가 아니
studygoodjob.com
'바로 써먹는 수학픽' 카테고리의 다른 글
| 왜 파이(3.14...)가 180도일까? (2탄) : 라디안은 왜 '길이'로 정의할까? 각도의 단위를 다시 생각해보자 (0) | 2025.05.15 |
|---|---|
| 🧮중1 수학 1단원 공식 정리: 수와 연산 (시험 전에 볼 것 정리) (1) | 2025.05.15 |
| 📘 [생활 속의 수학 ⑤] 낚시 포인트는 어떻게 찾을까?– 삼각법과 좌표의 수학 (0) | 2025.05.07 |
| 📘 [생활 속의 수학 ③] 낚싯대가 휘는 이유는?– 하중과 비례의 법칙 (0) | 2025.05.07 |
| 📘 [생활 속의 수학 ②] 릴 한 바퀴에 감기는 줄의 길이, 수학으로 계산해볼까?– 원주율과 비례식의 실제 (5) | 2025.05.07 |