구를 정확하게 반으로 잘랐을 때 어떤 모양이 나올까요?
많은 분들이 ‘그냥 원’이라고 생각하지만, 사실은 ‘특별한 원’입니다.
오늘은 구의 가장 큰 단면, 즉 대원(大圓, great circle)을 어떻게 구할 수 있는지 알아보겠습니다.
간단한 실험도 함께 소개할게요.
✅ 구를 자르면 항상 원이 나오나요?
네, 맞습니다.
구를 어떤 평면으로 자르든 단면은 항상 원입니다.
하지만!
항상 같은 크기의 원이 나오는 건 아닙니다.
그 이유는 간단합니다.
구의 중심을 지나느냐, 안 지나느냐에 따라 원의 크기가 달라지기 때문이죠.
🟠 '가장 큰 원'은 무엇일까? – 대원(Great Circle)
구의 중심을 지나는 평면으로 잘랐을 때 생기는 원,
이게 바로 가장 큰 단면, 즉 대원입니다.
📐 대원의 특징
- 반지름이 구의 반지름과 같다
- 구를 둘로 정확히 나누는 절단면
- 지구에서의 적도, 자오선 등이 대표적인 예
🔍 수학적으로 설명하면?
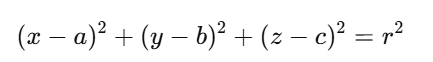
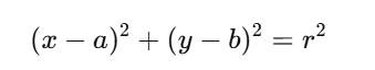
🔹 구의 식 (3차원 기준)

이때, 중심을 지나는 평면을 z=cz = c로 잡고 식에 대입하면?

→ 이는 반지름 r를 가진 2차원 원의 방정식입니다.
→ 이 원이 바로 구의 대원입니다.
🧪 실생활 속 실험 – 오렌지로 실천해보자
실제로 중심을 알 수 없는 오렌지를 사용해 대원을 찾을 수 있어요.
이때 다음과 같은 방법을 사용해보세요.
📌 방법 1: 눈대중으로 가장 넓은 면 찾기
- 오렌지를 손에 들고 가장 볼록하고 넓은 부분을 수평으로 자릅니다.
- 그 단면이 가장 큰 원, 즉 대원일 가능성이 높습니다.
📌 방법 2: 오렌지를 정육면체에 맞춰 중심 찾기
- 오렌지를 딱 감싸는 정육면체 박스를 만듭니다.
- 정육면체 중심이 곧 오렌지의 중심.
- 정중앙 수평 방향으로 칼을 넣으면 → 완벽한 대원 생성!
🧭 지구와 대원의 연결 – 에라토스테네스의 지혜
우리가 지구에서 ‘적도’를 이야기할 때,
사실상 지구라는 구의 대원을 말하는 것입니다.
기원전 3세기, 에라토스테네스는 지구에 그림자가 생기는 각도의 차이를 이용해
지구의 둘레를 정확히 계산했어요.
이 모든 것이 구의 중심과 대원의 개념을 알고 있었기에 가능했던 일이죠.
📝 정리하면

💡 마무리하며
구는 겉보기엔 단순하지만, 내부에는 수많은 수학적 구조가 숨어 있습니다.
‘구를 자른다’는 간단한 질문 하나로
우리는 입체도형, 원의 방정식, 중심 개념, 그리고 지구 과학까지 탐험할 수 있습니다.
다음에 오렌지를 자를 때, 한번 생각해보세요.
“내가 지금 만든 이 단면, 대원일까 아닐까?”

'바로 써먹는 수학픽' 카테고리의 다른 글
| "0으로 나누면 왜 안 될까?" – 수포자도 이해하는 0 나누기의 진짜 이유 (3) | 2025.07.08 |
|---|---|
| 중2 수학 시험대비 - 함수가 수가 아니라고??? [자판기로 이해하는 함수] (0) | 2025.06.09 |
| 기울기는 단위가 뭐예요? 기울기에 대한 진짜 궁금한 점 (2) | 2025.05.15 |
| 왜 파이(3.14...)가 180도일까? (3탄)-라디안은 단위가 없다? 그런데 왜 "1라디안"이라고 부를까? (0) | 2025.05.15 |
| 왜 파이(3.14...)가 180도일까? (2탄) : 라디안은 왜 '길이'로 정의할까? 각도의 단위를 다시 생각해보자 (0) | 2025.05.15 |