반응형
“기울기 = 2”
이 간단한 식 안에 사실 엄청난 수학의 논리가 들어 있습니다.
우리는 기울기를 수 없이 써왔지만,
기울기가 뭘 의미하는지, 왜 단위가 없는지, 왜 각도가 아닌지
한 번도 제대로 설명받은 적이 없지 않나요?
이번 글에서는 기울기를 단순한 기호가 아닌
“비율”이라는 관점에서 다시 보기로 해요.
✅ 기울기의 정의부터 다시 보기
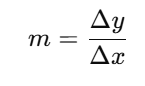
기울기는 이렇게 정의됩니다:


즉, ‘가로가 얼마만큼 변할 때, 세로는 얼마만큼 변하는가?’
이것이 바로 기울기입니다.
기울기란 결국 “변화량 사이의 비율”입니다.
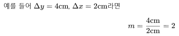
📏 그런데 왜 단위가 없을까?
이 부분이 핵심입니다.

- 단위 cm는 약분되어 사라지고,
- 남는 건 순수한 숫자 2입니다.
그래서 기울기는 단위가 없는 수입니다.
이건 라디안이 단위 없는 이유와 똑같은 원리예요.

▶ 모두 비율이기 때문에 단위가 없습니다.
📐 기울기 = 각도는 아니다
여기서 많은 분들이 혼동합니다.
“기울기가 1이면 1도인가요?”
❌ 아닙니다!
- 기울기는 비율,
- 각도는 도(degree)나 라디안(radian)입니다.
실제로 기울기 m=1일 때,
그에 해당하는 각도는 45도,
즉 π/4 라디안입니다.

기울기와 각도는 다른 개념입니다.
기울기는 단위 없는 비율,
각도는 라디안이나 도로 표현되는 측정 단위입니다.
🧠 기울기를 비율로 이해하면 좋은 이유
기울기를 비율로 보면 수학이 훨씬 넓어집니다.
- 경사도: 도로 설계, 건축에서 기울기 = 경사율

- 그래프 해석: 경제 그래프, 함수의 증가율 등
- → 기울기가 양수? 증가
- → 기울기가 음수? 감소
- 수익률 계산: 투자에서도 ‘기울기’는 핵심

기울기를 '비율'로 이해하면
수학, 과학, 경제, 건축, 디자인까지 확장됩니다
🧾 요약 정리

✏️ 마무리하며
기울기는 단순한 수가 아니라
"변화를 읽는 비율 언어"입니다.
우리는 수학을 '공식'으로 외우기보다,
그 공식이 무엇을 말하고 있는지를 이해할 때
비로소 수학의 세계와 연결됩니다.
기울기 = 단위 없는 변화의 언어
이제부터는 그렇게 기억해보면 어떨까요?
'바로 써먹는 수학픽' 카테고리의 다른 글
| 중2 수학 시험대비 - 함수가 수가 아니라고??? [자판기로 이해하는 함수] (0) | 2025.06.09 |
|---|---|
| 구의 가장 큰 단면-대원-을 구하는 방법은 뭘까? (0) | 2025.05.18 |
| 왜 파이(3.14...)가 180도일까? (3탄)-라디안은 단위가 없다? 그런데 왜 "1라디안"이라고 부를까? (0) | 2025.05.15 |
| 왜 파이(3.14...)가 180도일까? (2탄) : 라디안은 왜 '길이'로 정의할까? 각도의 단위를 다시 생각해보자 (0) | 2025.05.15 |
| 🧮중1 수학 1단원 공식 정리: 수와 연산 (시험 전에 볼 것 정리) (1) | 2025.05.15 |