“라디안은 각도의 단위입니다.”
하지만 자세히 들여다보면, 라디안은 사실 단위가 없는 수입니다.
그런데도 우리는 흔히 “1라디안”이라는 표현을 씁니다.
도대체 단위가 없다면서 왜 단위처럼 말할까요?
이번 글에서는 그 의문을 명확히 풀어보겠습니다.
✅ 먼저, 라디안의 정의 다시 보기
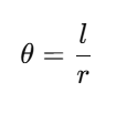
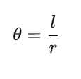
라디안은 다음과 같이 정의됩니다:

- : 호의 길이 (예: m, cm)
- : 반지름 (예: m, cm)
▶ 그러니까 호의 길이를 반지름으로 나눈 값,
즉 길이 ÷ 길이 = 단위가 없는 수(단위끼리도 약분됨)입니다.
🎯 그럼에도 왜 "1라디안"이라고 부를까?
이제 핵심으로 들어가 보죠.
단위가 없는 수를 왜 ‘1라디안’이라고 부를까요?
그 이유는 간단하지만 중요합니다.
라디안은 ‘해석 방식’이지, 물리적 단위가 아니기 때문입니다.
📘 라디안은 ‘단위 없는 수’를 각도로 해석한 것
수학에서 라디안은 단위가 아니라 비율입니다.

하지만 이 수 1이 의미하는 바가,
"반지름과 같은 길이의 호에 해당하는 중심각"일 때,
우리는 이 각도 크기를 '1라디안'이라고 부르는 것입니다.
이건 마치 다음과 같은 비유와 같습니다:

▶ 모두 단위가 없는 수지만, 해석에 따라 이름이 붙는 것이죠.
🧠 비유로 이해해보기: “1라디안은 이름표다”
- 어떤 수가 있어요:

- 이건 단순히 “1”이라는 숫자일 뿐이에요.
- 그런데 이 수가 '각도'를 나타낸다면, 우리는 ‘1라디안’이라고 부릅니다.
🌟 즉, 라디안은 단위가 아니라
‘단위 없는 수를 각도로 해석한 이름표’인 거죠.
🔬 왜 이게 중요한가?
수학, 물리학, 공학에서 라디안을 쓰는 이유는 바로 여기에 있습니다.
- 라디안은 수학적으로 더 자연스럽고,
- 각도 계산에서 미분, 적분과 궁합이 잘 맞습니다.
예를 들어, 라디안으로만 아래 식이 성립합니다:

도(degree) 단위였다면, 이상한 상수가 붙어야 합니다.

그렇기에 라디안은 단위 없는 비율로서의 자연스러움이 가장 큰 장점입니다.
🧾 오해 정리

📌 정리
- 라디안은 단위 없는 수입니다.
- 하지만 이 수를 각도로 해석할 때 ‘1라디안’이라는 이름을 붙이는 것입니다.
- 라디안은 단위가 아니라 ‘해석 방식’, ‘수학적 관점’입니다.
- 우리가 “1라디안”이라고 부르는 건, 비율 1을 각도로 본 것입니다.
✏️ 마무리하며
라디안을 이해하는 데 있어 중요한 포인트는
그것이 단위가 아니라 ‘비율에 대한 해석’이라는 점입니다.
“1라디안은 단위 없는 수 1이지만,
그 수를 각도로 본 해석이 바로 ‘1라디안’이다.”
이 관점을 가지면,
수학에서 왜 라디안을 쓰는지,
왜 각도 계산에서 이 단위가 중요한지 자연스럽게 이해할 수 있습니다.
🎯 왜 파이(3.14...)가 180도일까? (1탄)수학을 좋아하든 말든, 이건 누구나 궁금한 이야기
🤔 3.14가 왜 각도를 뜻하지?수학을 싫어하는 사람도 ‘파이’는 안다.3.14, 원주율, 원둘레 공식, 뭔가 복잡한 수학 시험의 트라우마...그런데 어느 날 문득, 누군가 이렇게 물었다.“왜 180도가 π
studygoodjob.com
왜 파이(3.14...)가 180도일까? (2탄) : 라디안은 왜 '길이'로 정의할까? 각도의 단위를 다시 생각해보
라디안(radian)은 분명 '각도 단위'인데,왜 정의는 '길이 ÷ 반지름'일까요?처음 수학에서 라디안을 배우면 누구나 한 번쯤 의문을 가집니다.“라디안은 각도인데, 왜 자꾸 길이로 말하지?”이번 글
studygoodjob.com
'바로 써먹는 수학픽' 카테고리의 다른 글
| 구의 가장 큰 단면-대원-을 구하는 방법은 뭘까? (0) | 2025.05.18 |
|---|---|
| 기울기는 단위가 뭐예요? 기울기에 대한 진짜 궁금한 점 (2) | 2025.05.15 |
| 왜 파이(3.14...)가 180도일까? (2탄) : 라디안은 왜 '길이'로 정의할까? 각도의 단위를 다시 생각해보자 (0) | 2025.05.15 |
| 🧮중1 수학 1단원 공식 정리: 수와 연산 (시험 전에 볼 것 정리) (1) | 2025.05.15 |
| 📘 [생활 속의 수학 ④] 물고기 잡힐 확률은?– 조건부 확률과 낚시 전략 (0) | 2025.05.07 |