🤔 3.14가 왜 각도를 뜻하지?
수학을 싫어하는 사람도 ‘파이’는 안다.
3.14, 원주율, 원둘레 공식, 뭔가 복잡한 수학 시험의 트라우마...
그런데 어느 날 문득, 누군가 이렇게 물었다.
“왜 180도가 π야?”
“왜 3.14...가 각도를 뜻하지?”
의외로 제대로 대답할 수 있는 사람은 많지 않다.
도대체 파이(π)와 180도는 무슨 관계일까?
🧮 1. 먼저, 도(degree)라는 단위부터 따져보자
우리가 흔히 쓰는 '360도'는 고대 바빌로니아에서 온 단위야.
- 바빌로니아인은 1년을 360일로 생각했어.
- 그래서 원을 360등분해서 '1도'로 만든 거지.
이건 역사적 이유고, 과학적 이유는 아니야.
🔄 2. 그런데 수학자들은 왜 '도' 대신 '라디안(radian)'을 썼을까?
💡먼저, 라디안이 뭔지부터 짚자!
- 라디안은 각도를 재는 단위야.
- 그런데 도(degree, 360도)는 사람 기준이고,
라디안은 수학적 정의에 기반한 단위야.
✔ 라디안의 정의
"반지름 길이만큼의 호(弧)를 가진 중심각을 1라디안으로 정의한다"
즉,
- 반지름이 인 원에서
- 호의 길이(호의 길이도 거리)가 r일 때,
- 그에 대응되는 중심각이 1라디안이야!

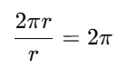
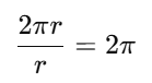
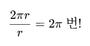
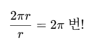
🌀 2. 그럼 이제 원 전체를 보자
- 원의 둘레 길이는 이렇게 계산해:

- 이걸 반지름 r로 나눠서 원의 둘레는 r이 몇 개로 돼 있는지 알아보자.

즉, 원의 전체 둘레는 반지름으로 몇 번 들어가냐? → 2π번!

🔁 이게 왜 중요할까?
앞서 말한 라디안의 정의 다시 보기:
반지름 길이의 호의 중심각 = 1라디안
→ 그러면 전체 둘레 길이는?
→ 반지름이 2π번 들어가는 길이니까,
→ 한 바퀴는 2π 라디안!
🎯 직관적으로 비유해볼게요
▣ 비유 1: 돈으로 생각해보기
- 동그란 철사를 원으로 생각해보세요.
- 이 철사를 잘라서 쭉 펴 봐요.
- 그 길이는 2πr 이겠죠?
그걸 가지고 r 길이짜리 막대를 몇 번 눕혀서 채울 수 있나요?

즉, r만큼의 호가 1라디안이라면,
전체 원은 2π 라디안으로 가득 찬 거예요.
📌 정리!
- 1라디안 = 반지름 길이만큼의 호에 해당하는 중심각
- 원 전체의 둘레는 2π × 반지름
- 따라서

📌 그래서 결론은?
180도 = π 라디안
360도 = 2π 라디안
라디안은 인위적인 숫자가 아니라,
원 자체의 성질에서 출발한 자연스러운 각도 단위야.
🌐 라디안이 중요한 이유는?
사실 고등학교를 넘어서 미적분, 물리, 공학으로 가면
라디안이 훨씬 더 많이 쓰인다.
예를 들어, 미분할 때:

👉 이게 라디안일 때만 자연스럽게 성립해.
도 단위에서는 이상한 계수가 붙어버리지.
즉, 자연의 언어로는 라디안이 더 순수하다.
🎯 그래서 파이는 각도다
우리는 수학 시간에 "3.14"라고 외웠지만,
실은 파이는 길이, 각도, 주기, 파동, 우주, 음악...
모든 자연 속 리듬에 숨어 있는 수야.
그리고 180도 = π는
그 시작점일 뿐이다.
✍️ 마무리하며
우리는 매일 180도를 회전하고, 360도를 돌고,
삼각함수 그래프를 그리고, 시계를 읽고, 파이를 먹는다(?)
그 모든 곳에 π가 숨어 있다.
그러니까 다음에 누가 “왜 180도가 파이야?”라고 물으면
이제 자신 있게 말하자:
“그건, 원을 기준으로 보면 그게 가장 자연스러운 단위거든.”

왜 파이(3.14...)가 180도일까? (2탄) : 라디안은 왜 '길이'로 정의할까? 각도의 단위를 다시 생각해보
라디안(radian)은 분명 '각도 단위'인데,왜 정의는 '길이 ÷ 반지름'일까요?처음 수학에서 라디안을 배우면 누구나 한 번쯤 의문을 가집니다.“라디안은 각도인데, 왜 자꾸 길이로 말하지?”이번 글
studygoodjob.com
왜 파이(3.14...)가 180도일까? (3탄)-라디안은 단위가 없다? 그런데 왜 "1라디안"이라고 부를까?
“라디안은 각도의 단위입니다.”하지만 자세히 들여다보면, 라디안은 사실 단위가 없는 수입니다.그런데도 우리는 흔히 “1라디안”이라는 표현을 씁니다.도대체 단위가 없다면서 왜 단위처
studygoodjob.com
'바로 써먹는 수학픽' 카테고리의 다른 글
| 📘 π 시리즈 ④파이는 어디에나 있다 – 자연과 과학 속의 파이 (0) | 2025.05.05 |
|---|---|
| 📘 π 시리즈 ③무리수와 초월수 – 파이는 왜 끝이 없는가? (0) | 2025.05.05 |
| 📘 π 시리즈 ②파이, 고대에서 현대까지 – 인간은 π를 어떻게 계산해 왔는가? (0) | 2025.05.05 |
| 📘 π 시리즈 ① | 파이란 무엇인가?– 단순한 숫자 그 이상, 수학이 품은 무한한 원 (0) | 2025.05.05 |
| 학생들이 좋아한 수학이론 ⑤ – 쌍둥이 소수, 무한 속의 짝꿍 -『우리 수학자 모두는 약간 미친 겁니다』 (0) | 2025.05.05 |