"철이 전자를 잃고, 산소가 받는 과정에서 거리나 힘이 어떤 역할을 하는가?"
실제로 둘 사이에는 전기적인 힘(전기적 인력)이 작용합니다.
✅ 핵심 개념: 전자 이동에는 “전기적 힘”과 “접촉 환경”이 모두 영향을 줍니다.
1️⃣ 철과 산소 사이에 힘이 작용하는가?
✔ 작용합니다. 그것도 매우 중요한 전기적 힘입니다.
- 철(Fe)은 전자를 잃으면 양전하(Fe²⁺)를 띠게 되고,
- 산소는 전자(e⁻)를 얻으면 음전하(OH⁻ 등)를 띱니다.
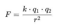
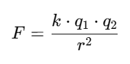
🧲 이 둘 사이에는 정전기적 인력(Coulomb force)이 생깁니다.
→ 이 힘이 이온이 서로 끌리고,
→ 새로운 화합물이 생성되는 원동력이 돼요.
2️⃣ 거리랑 상관 있을까?
✔ 네, 당연히 있습니다.
- 쿨롱의 법칙(Coulomb's Law)에 따르면,
전하 사이의 인력은 거리의 제곱에 반비례해요.

- 즉, 거리가 가까울수록 전기적 인력은 훨씬 커지고,
전자 이동이 더 잘 일어날 수 있습니다.
3️⃣ 물 속에서는 어떻게 가까워질까?
여기서 “물”의 역할이 매우 중요합니다:
- 물(H₂O)은 전해질로 작용하고,
- 이온(Fe²⁺, OH⁻, H⁺ 등)의 이동 경로를 만들어 줍니다.
- 물 속에서는 이온들이 자유롭게 움직일 수 있어,
서로 짧은 거리에서 만나 반응할 수 있죠.
👉 그래서 물이 있을 때 전자 이동이 훨씬 잘 일어납니다.
4️⃣ 정리하면
| 요소 | 영향 |
| 거리 | 가까울수록 전자 이동이 쉬워짐 (전기적 인력 증가) |
| 전기적 힘 | Fe²⁺와 O₂ 사이에 전자 주고받는 인력 작용 |
| 물 | 이온들이 자유롭게 움직이며 거리 좁힘 + 전도성 증가 |
| 산소 농도 | 산소가 충분히 가까이 있어야 전자를 받아줄 수 있음 |
🎯 비유로 정리
철은 전자를 들고 서 있는 사람,
산소는 전자가 필요한 사람.
둘 사이가 멀면 서로 보긴 해도 전해주긴 어렵고,
가까이 있고 물(이온 도로)이 깔려 있으면
"여기요~" 하고 쉽게 전달할 수 있는 것이에요.

처음에는 철(Fe)도, 산소(O₂)도 모두 중성이죠. 그런데 왜 갑자기 전자가 오가고, 이온이 되나요?
✅ 처음 상태: 모두 중성
| 물질 | 상태 | 전하 |
| 철(Fe) | 고체 상태의 금속 | 중성 |
| 산소(O₂) | 물 속에 녹아 있는 기체 분자 | 중성 |
그래서 당연히 이런 의문이 생겨요:
"전기도 안 걸었는데, 왜 누가 전자를 주고받는 거지?"
✅ 핵심 개념: 전자 이동의 "자발성"
이건 에너지적으로 더 안정한 상태로 가는 자연스러운 과정이에요.
1. 철은 전자를 '잃고 싶어하는' 성질이 있음 (전기화학적 성질)
- 철은 금속이라 전자를 잘 내주는 성향이 있어요.
- 특히 바깥껍질(4s²) 전자는 핵과 멀고 결합력이 약해서 쉽게 떨어져 나갑니다.
2. 산소는 전자를 '받고 싶어하는' 성질이 있음
- 산소는 전기음성도가 높아서, 전자를 끌어당기려는 힘이 강합니다.
- 특히 O₂ 분자는 4개의 전자를 받을 수 있다면 더 안정해집니다.
→ 두 성질이 만나면?
- 철: "전자 줄게"
- 산소: "잘 먹을게!"
✔️ 이게 바로 자발적 전자 이동 = 산화-환원 반응(Redox)
✅ 반응이 일어나는 조건: “전자 흐름 통로”와 “이동할 동기”
이 반응이 실제로 진행되려면, 두 가지가 더 필요해요:
| 조건 | 설명 |
| 전자 이동 통로 | 물, 이온, 염(소금 등) → 전자를 전달할 수 있는 환경 |
| 에너지 차이 (동기) | 철이 전자를 잃고 산소가 얻는 편이 에너지적으로 더 안정 |
👉 이런 조건이 갖춰지면, 비록 처음엔 둘 다 중성이라도,
자연스럽게 철이 Fe²⁺, 산소가 OH⁻ 형태로 변하면서 반응이 일어납니다.
✅ 반응의 흐름 요약
- 중성 철(Fe) → 전자 2개 방출 → Fe²⁺ + 2e⁻
- 중성 산소(O₂) + 전자 4개 + 물 → 4OH⁻
- 생성된 이온들이 결합해 → Fe(OH)₂ → Fe₂O₃·xH₂O (녹)
🎯 다시 말하면:
처음엔 다 중성이지만,
서로 전자를 주고받는 성향 + 적절한 환경(물, 이온)이 생기면
자발적으로 전자가 이동하면서 녹이 생기는 겁니다.
철이 녹스는 원리 : 산소 그리고 물과 무슨 관계?
철이 녹스는 것과 산소의 관계는 알겠는데 물은 무슨 관계가 있을까? 쉽게 알아보자.✅ 1. 공기 중에서 녹스는 원리 (물 없이)공기 중 산소만으로도 녹이 생길 수 있을까?부분적으로 Yes, 하지만
studygoodjob.com
철이 공기(산소) 물 속(용존 산소)에서 더 잘 녹스는 이유
바닷가 마을에 놀러를 가보면 간판이 거의 다 녹이 슬어 있는 걸 볼 수 있어요. 왜일까요?철은 공기 중에서 보다 물속에서 녹이 잘 슬고, 물 속보다 바닷물(소금물)에서 녹이 더 잘 슬어요.그럼
studygoodjob.com
'질문이 있는 과학픽' 카테고리의 다른 글
| 정체전선 (장마전선)은 어디로 사라진거야? (0) | 2025.06.16 |
|---|---|
| 장마가 사라진 이유 : 장마 대신 국지성 호우 (1) | 2025.06.16 |
| 철이 공기(산소) 물 속(용존 산소)에서 더 잘 녹스는 이유 (0) | 2025.06.16 |
| 철이 녹스는 원리 : 산소 그리고 물과 무슨 관계? (0) | 2025.06.16 |
| ⚖️(5편)라부아지에는 어떻게 물 분해 실험을 할 생각을 했을까? [질량보존의 법칙:저울 위에서 태어난 과학 법칙] (0) | 2025.06.16 |